DOLAR
42,55 0%
EURO
49,59 -0,01%
ALTIN
5.754,46 -0,16%
BITCOIN
3.895.885,06 -0,57%

O bakanlık az önce KPSS 60 puanla Türkiye genelinde yüksek maaş ile yüzlerce şoför, temizlik ve güvenlik görevlisi alım ilanı yayımladı

Ticaret Bakanlığı, 328 sözleşmeli personel alımı yapacağını duyurdu. Alım, kadın ve erkek adaylar arasından Türkiye’nin farklı illerinde çalıştırılmak üzere gerçekleştirilecek. Güvenlik görevlisi, şoför, temizlik personeli gibi pozisyonlar için başvuru şartları ve kontenjan dağılımı haberimizde.

Yayın Tarihi: 31.01.2024 14:09
Güncelleme Tarihi: 31.01.2024 14:09

O bakanlık az önce KPSS 60 puanla Türkiye genelinde yüksek maaş ile yüzlerce şoför, temizlik ve güvenlik görevlisi alım ilanı yayımladı

Ticaret Bakanlığı 328 Sözleşmeli Personel Alacak: Başvuru Şartları ve Tarihleri Neler?

Ticaret Bakanlığı, Türkiye genelinde farklı illerde görevlendirilmek üzere 328 sözleşmeli personel alımı yapacak. Kadın ve erkek adayların başvurabileceği alımda, güvenlik görevlisi, şoför, temizlik personeli gibi pozisyonlar bulunuyor. Başvuru koşulları ve kontenjan dağılımı haberimizde.

Ticaret Bakanlığı personel alımı Başvurular Ne Zaman ve Nasıl Yapılacak? 

Ticaret Bakanlığı bünyesine 328 sözleşmeli personel alımı için başvurular, 1 Şubat 2024 tarihinde başlayacak ve 12 Şubat 2024 tarihinde sona erecek. Başvurular, sadece elektronik ortamda Kariyer Kapısı üzerinden yapılacak. Posta yoluyla veya diğer yöntemlerle yapılan başvurular kabul edilmeyecek.

personel alımı

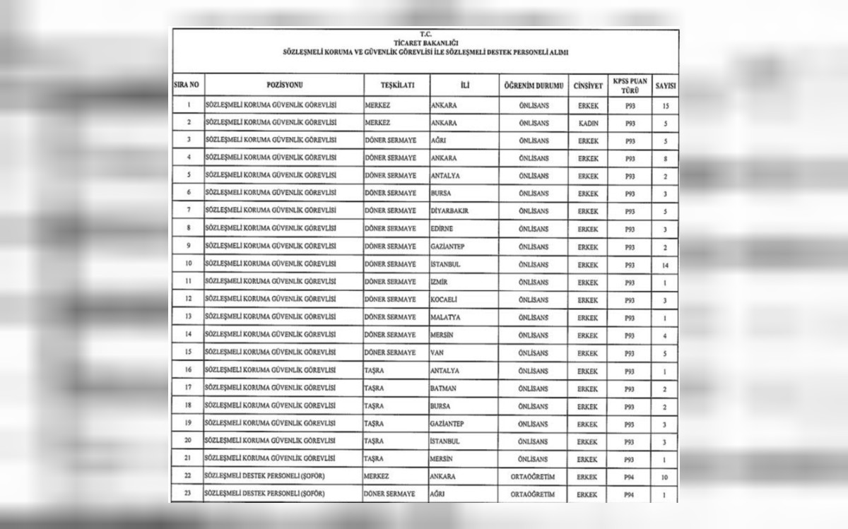
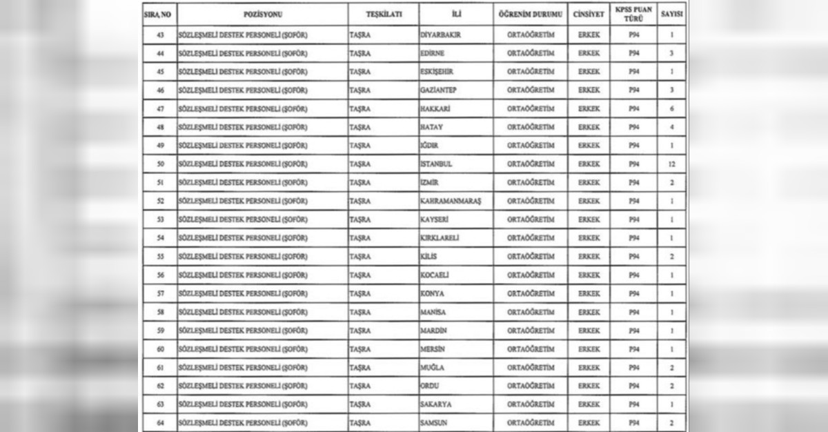
Ticaret Bakanlığı personel alımında Kaç Kişi Alınacak ve Hangi İllerde Çalışacaklar? 

Ticaret Bakanlığı, sözleşmeli personel alımında lise ve ön lisans mezunu adayları değerlendirecek. Lise mezunu adaylar için 110 şoför, 30 temizlik görevlisi, 100 temizlik basit bakım onarım personeli pozisyonları açık olacak. Ön lisans mezunu adaylar için ise 88 koruma ve güvenlik görevlisi pozisyonu açık olacak.

personel alımı

personel alımı

personel alımı

personel alımı

personel alımı

Ticaret Bakanlığı personel alımı Başvuru Şartları Neler? 

Başvuru yapmak isteyen adayların, 657 sayılı Devlet Memurları Kanunu’nun 48. maddesinde belirtilen genel şartları taşımaları gerekiyor. Ayrıca, herhangi bir kurumda görev yaparken ihraç edilmemiş olmak, herhangi bir kurumda sözleşmeli olarak çalışmıyor olmak, yapılacak güvenlik soruşturması ve arşiv araştırmasından olumlu sonuç alabilmek gibi özel şartlar da aranıyor.

Ticaret Bakanlığı personel alımı KPSS Şartı Var mı? 

Başvuru yapmak isteyen adayların, 2022 yılında ÖSYM tarafından yapılan Kamu Personeli Seçme Sınavı’ndan (KPSS) lise için P94, ön lisans için P3 puan türünden en az 60 puan almış olmaları gerekiyor.

Ticaret Bakanlığı personel alımı Yaş Sınırı Var mı? 

Başvuru yapmak isteyen adayların, giriş sınavının yapıldığı yılın ocak ayının birinci günü itibarıyla 35 yaşını doldurmamış olmaları gerekiyor. (01.01.1989 ve daha sonra doğanlar başvurabilecek.)

Ticaret Bakanlığı personel alımı Pozisyonlara Göre Özel Şartlar Neler? 

Başvuru yapmak isteyen adayların, pozisyonlara göre aşağıdaki özel şartları da sağlamaları gerekiyor.

Koruma ve Güvenlik Görevlisi: 5188 sayılı Özel Güvenlik Hizmetlerine Dair Kanun hükümlerine göre silahlı özel güvenlik görevlisi kimlik kartına sahip olmak, erkeklerde 170 cm, kadınlarda 162 cm boyundan kısa boylu olmamak.

Şoför: En az B sınıfı sürücü belgesine sahip olmak.

Temizlik Görevlisi: Temizlik hizmetleri alanında en az 1 yıl deneyimli olmak.

Temizlik Basit Bakım Onarım Personeli: Temizlik hizmetleri ve basit bakım onarım hizmetleri alanlarında en az 1 yıl deneyimli olmak.

Ticaret Bakanlığı personel alımı ne zaman yapılacak? Ticaret Bakanlığı personel alımı için başvurular, 1 Şubat 2024 tarihinde başlayacak ve 12 Şubat 2024 tarihinde sona erecek.


TIKLA HEMEN BAŞVUR

Ticaret Bakanlığı personel alımı nasıl yapılacak? Ticaret Bakanlığı personel alımı, KPSS puanı, sözlü sınav ve uygulamalı sınav ile yapılacak. Sözlü sınava, KPSS puan sıralamasına göre atama yapılacak pozisyon sayısının üç katı aday çağırılacak. Uygulamalı sınav ise sadece gümrük muhafaza memuru adayları için yapılacak.

Ticaret Bakanlığı personel alımı için başvuru adresi nedir? Ticaret Bakanlığı personel alımı için başvurular, sadece Kariyer Kapısı üzerinden yapılacak. Posta yoluyla veya diğer yöntemlerle yapılan başvurular kabul edilmeyecek.