En az B sınıfı ehliyeti olanlara 32 bin TL maaşla iş fırsatı! İlan az önce yayımlandı Tıkla başvur

Resmi Gazetede yayınlanan ilana göre, Ticaret Bakanlığı 2024 yılında 110 Şoför istihdam edecek. Ticaret Bakanlığı bünyesindeki personel ihtiyacını karşılamak için farklı şehirlerde görev yapacak Şoförler aranıyor. İşte o iller ve başvuru detayları

Yayın Tarihi: 31.01.2024 16:58
Güncelleme Tarihi: 31.01.2024 16:58

En az B sınıfı ehliyeti olanlara 32 bin TL maaşla iş fırsatı! İlan az önce yayımlandı Tıkla başvur

Ticaret Bakanlığı 110 Şoför Alacak! Başvuru Şartları Neler?

Ticaret Bakanlığı, 2024 yılında farklı illerde çalıştırmak üzere 110 sözleşmeli şoför alımı yapacağını duyurdu. Resmi Gazete’de yayınlanan ilana göre, başvuru şartları ve kontenjan dağılımı belli oldu. İşte detaylar.

personel alımı

Ticaret Bakanlığı Kaç Kişi Alınacak? Hangi İllerde Çalışacaklar?

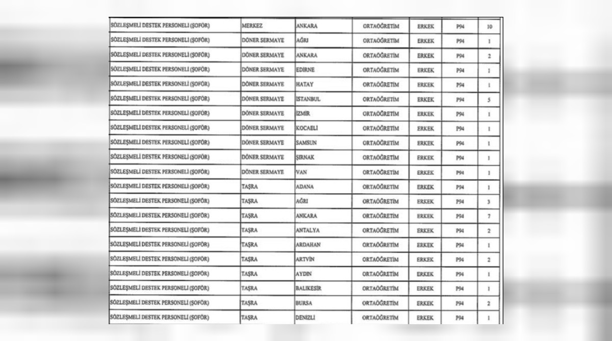
Ticaret Bakanlığı, sözleşmeli personel statüsünde istihdam etmek üzere 110 şoför alacak. Alınacak personeller, bakanlığın merkez ve taşra teşkilatlarında görev yapacak. Ticaret Bakanlığı, şoför alımı için 81 ilde kontenjan belirledi.

personel alımı

personel alımı

Ticaret Bakanlığı Başvuru Koşulları Neler?

Ticaret Bakanlığı, şoför alımı için adaylardan bazı genel ve özel şartlar talep ediyor. Genel şartlar şöyle:

657 sayılı Devlet Memurları Kanunu’nun 48. maddesinde belirtilen niteliklere sahip olmak,

2022 yılında ÖSYM tarafından yapılan Kamu Personeli Seçme Sınavı’nda (KPSS), ortaöğretim düzeyinde KPSSP94 puan türünden en az 60 (altmış) puan almış olmak,

Son başvuru tarihi itibarıyla 35 yaşını doldurmamış olmak, (01.01.1989 ve sonrasında doğanlar başvurabilir.)

Özel şartlar ise şunlar:

Ortaöğretim (lise veya dengi) okullarının herhangi bir bölümünden mezun olmak,

Son başvuru tarihi itibarıyla en az B sınıfı (B, BE, C1, C1E, C, CE, D1, D1E, D, DE) ehliyete sahip olmak,

Gerektiğinde vardiyalı çalışma sistemine, mesai saatleri dışında çalışmaya ve şehirlerarası seyahate engel bir durumu bulunmamak.

Ticaret Bakanlığı Başvuru Süreci Nasıl?

Ticaret Bakanlığı, şoför alımı için başvuruları 1 Şubat 2024 tarihinde başlatacak ve 12 Şubat 2024 tarihinde sona erdirecek. Başvurular, sadece bakanlığın kariyer portalı olan “BURADAKİ” adresi üzerinden online olarak yapılabillrken başvuru ekranına ise “BURADAKİ” linkinden ulaşılabilir.

2024 Yılı Şoför Maaşları Ne Kadar?

maaş

Şoför maaşları 2024 yılında merak konusu oldu. Şoförlük mesleği, kamuda veya özel sektörde yapıldığında farklı ücretlendirme politikalarına tabi olabilir.

Özel Sektörde Şoför Maaşları:

Özel sektörde çalışacak olan şoförlerin maaşları genellikle kullanacakları araç türüne, deneyimlerine ve iş koşullarına göre değişiklik gösterir. Ancak genel bir bilgi vermek gerekirse,

En Düşük Şoför Maaşları: 15.000 TL

En Yüksek Şoför Maaşları: 48.500 TL

Ortalama Şoför Maaşları: 18.500 TL

Kamuda Hizmet Yılına Bağlı Şoför Maaşları:

Kamu sektöründe çalışan şoförler genellikle bakanlıklar ve kamu kurumları tarafından istihdam edilir. Hizmet süresine göre şoför maaşları değişiklik gösterebilir. Kamu şoför maaşları, genel olarak 32.300 TL civarında seyretmektedir. Bu miktar, mezuniyet durumu ve diğer kriterlere göre de değişiklik gösterebilir.

Lise Mezunu Bekar Şoför Maaşları: 32.000 TL

Lisans Mezunu Evli Şoför Maaşları: 41.500 TL